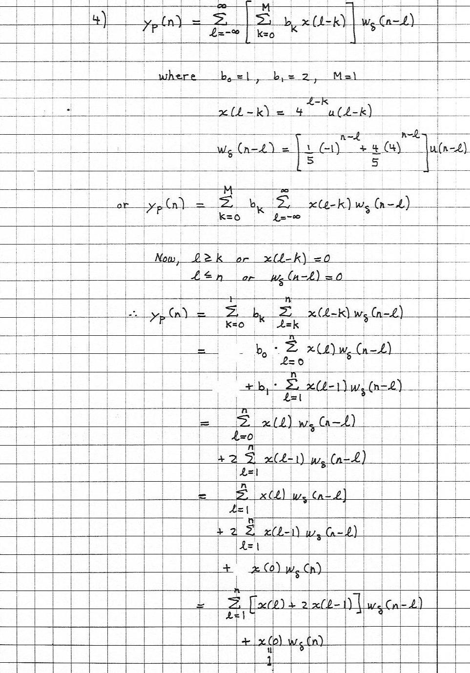
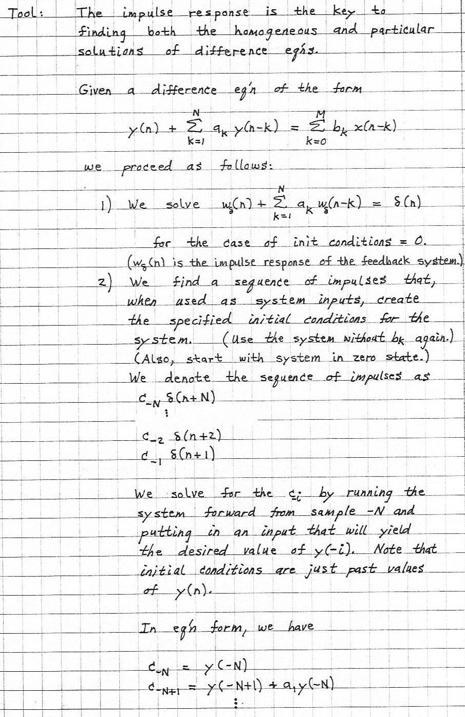
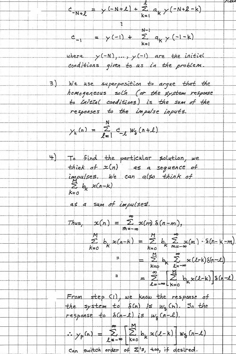
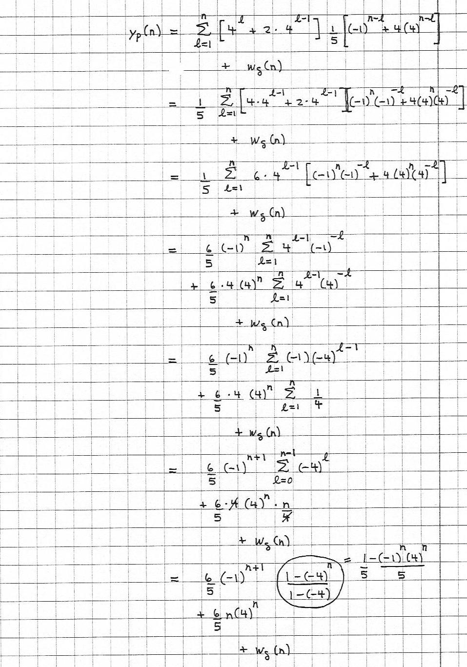
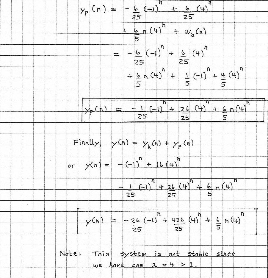
DIFFERENCE EQUATION SOLUTIONS FROM IMPULSE RESPONSE